金星和其他行星大气的水分活度

2020年7月23日,“天问一号”成功发射,这是中国首次执行火星探测任务。9月14日,欧洲南方天文台当天发布新闻公报称,一个国际天文学家团队在金星大气层中探测到了磷化氢的踪迹,在对其产生原因的分析中,有一种观点认为“可能源于某种形式的生命”。金星大气中存在磷化氢的消息重新激起了人们对云中是否存在生命的兴趣。
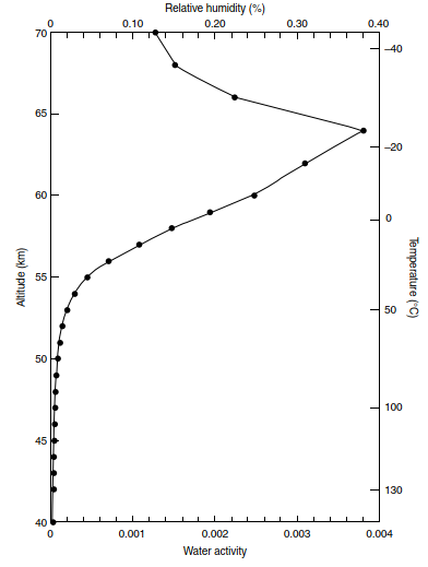
然而,这种分析通常忽略了水分活度在居住适宜性中的作用。水分活度是衡量水的相对可用性的一种非常有用的指标。科学家们根据对温度和水蒸气丰度的观测,计算了金星和其他太阳系行星云中的水分活度,发现组成金星云团的硫酸液滴的水分活度≤0.004,比已知极端微生物的水分活度0.585 aw限值低两个数量级。考虑到其他行星,火星上的冰形成意味着水分活度≤0.537,略低于适宜居住的范围,而木星云层的水分活度在生物学上是适宜居住的,虽然其组成等其他因素可能会限制其可居住性。相比之下,地球对流层的条件是适宜居住的,但是在中平流层以上,大气变得过于干燥,不适合活跃的生命。

图1 金星大气中的水分活度和相对湿度(温度范围-40℃-130℃)

图2 木星大气中的水分活度(生命适宜的高度)
与我们交流水分的应用
您不必单独弄清楚新仪器如何适应您的工作流程。我们渴望听到您的目标并讨论我们如何提供帮助。提交此表格与专家交谈。